Important Question Diploma (RGPV)
Table of Contents
ToggleGroup A-202 (7358), Applied Physics-II,
II Sem, Common for All Branch of Diploma
Multiple Choice Questions (MCQ)
Q.1 Choose the correct answer. (RGPV 2024)
सही उत्तर का चयन कीजिए।
i) Which of the following produces ultrasonic waves?
(a) Bat
(b) Buzzer
(c) Horse
(d) None of these
इनमें से कौन पराश्रव्य तरंगे उत्पन्न करता है
(अ) चमगादड़
(ब) घंटी
(स) घोड़ा
(द) इनमें से कोई नहीं
ii) A ray of light is incident normally from air on a water surface. After refraction, the ray
(a) gets diverted towards normal
(b) get diverted from normal
(c) does not get diverted at all
(d) none of the above
प्रकाश की किरण वायु से पानी पर लंबवत आपतित हो रही है। अपवर्तन के बाद यह किरण
(अ) अभिलंब की ओर झुक जाती है।
(ब) अमिलंब से दूर हट जाती है।
(स) बिल्कुल भी विचलित नहीं होती है।
(द) उपरोक्त में से कोई नहीं
iii) By joining capacitors in series, which of the following remains constant
(a) Capacitance
(b) Charge
(c) Potential difference
(d) Energy
संधारित्रों को श्रेणीक्रम में जोड़ने पर इनमें से क्या नियत रहता है?
(अ) धारिता
(ब) आवेश
(स) विभवांतर
(द) ऊर्जा
iv) The current carriers in metallic conductors are
(a) Free electrons
(b) Protons
(c) Neutrons
(d) Positive ions
धात्विक चालकों में धारा वाहक होते है
(अ) मुक्त इलेक्ट्रान
(ब) प्रोटान
(स) न्यूट्रान
(द) धनात्मक आयन
v) Laser beam is produced due to
(a) stimulated emission of radiation
(b) spontaneous emission of radiation
(c) by radioactivity
(d) none of the above
लेजर किरण के उत्पन्न होने का कारण है
(अ) विकिरण का उदीत उत्सर्जन
(ब) विकिरण का स्वतः उत्सर्जन
(स) रेडियो सक्रियता द्वारा
(द) उपरोक्त में से कोई नहीं
Q.2 Choose the correct answer. (RGPV 2023)
सही उत्तर का चयन कीजिए।
i) In a medium, energy is transmitted by
(a) Progressive wave
(b) Stationary wave
(c) Both (a) and (b)
(d) None of these
एक माध्यम में ऊर्जा का स्थानांतरण किसके द्वारा होता है
(अ) प्रगामी तरंग
(ब) अप्रगामी तरंग
(स) (अ) और
(ब) दोनों में
(द) इनमें से कोई नहीं
ii) Focal length of a lens is 10 cm. Its maximum magnifying power is एक लेंस की फोकस दूरी 10 सेमी है। इसकी अधिकतम आवर्धन क्षमता है।
(a) 2.5
(b) 3.5
(c) 10
(d) 0.1
iii) Unit of electric power is
(a) Joule-sec.
(b) Sec./Joule
(c) Joule/sec.
(d) Sec./Joule2
विद्युत शक्ति की इकाई है
(अ) जूल-सेकेंड
(ब) सेकेंड/जूल
(स) जूल/सेकेंड
(द) सेकेंड/जूल²
iv) Electric conduction in a semiconductor takes place due to
(a) Electrons only
(b) Holes only
(c) Both electrons and Holes
(d) Neither electrons nor holes
अर्द्धचालक में विद्युत चालकता का कारण है
(अ) केवल इलेक्ट्रान
(ब) केवल होल
(स) इलेक्ट्रान और होल दोनों
(द) न तो इलेक्ट्रान न ही होल
v) Which of the following is a unique property of laser?
(a) Directional
(b) Speed
(c) Coherence
(d) Wavelength
इनमें से क्या लेजर का एक अद्वितीय गुण है?
(अ) दिशात्मकता
(ब) चाल
(स) कला सम्बद्धता
(द) तरंगदैर्ध्य
Q.3 Choose the correct answer. (RGPV 2025)
सही उत्तर का चयन कीजिए।
i) Which of the following is the unit of charge
(a) Coulomb
(b) Newton
(c) Volt
(d) Ampere
निम्न में आवेश का मात्रक है
(अ) कुलम्ब
(ब) न्यूटन
(स) वोल्ट
(द) एम्पीयर
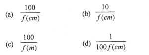
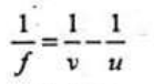
ii) If ‘f’ focal length of the lens, then the power of lens is equal to यदि किसी लेंस की फोकस दूरी ‘f’ है तब लेंस की क्षमता होगी।

iii) How many valence electrons are there in pentavalent impurity? पचसंयोजक अशुद्धि में संयोजी इलेक्ट्रॉन होते है।
(a) 3
(b) 6
(c) 4
(d) 5
iv) A magnet is moved towards a coil
(i) quickly
(ii) slowly, then the induce emf is
(a) Large in case (i)
(b) Smaller in case (i)
(c) Equal in both cases
(d) None of these
यदि किसी चुम्बक को एक कुण्डली की तरफ से जाया जाता है
(i) शीघ्रता से
(ii) धीमें से तव प्रेरित वि. वा. बल होगा
(अ) केस में अधिक
(ब) केस (i)
(स) केस (i) व केस (ii) में बराबर
(द) कोई नहीं
v) The Resistivity of wire
(a) Varies with length
(b) Varies with mass
(c) Varies with area
(d) Depends only on the nature of material
किसी तार की प्रतिरोधकता
(अ) लंबाई के साथ परिवर्तित होती है
(ब) द्रव्यमान के साथ परिवर्तित होती है
(स) क्षेत्रफल के साथ परिवर्तित होती है
(द) केवल चालक (material) की प्रकृति पर निर्भर करती है
UNIT-I
Q.1 Define longitudinal and transverse waves. अनुदैर्ध्य और अनुप्रस्थ तरंगों को परिभाषित कीजिये। (RGPV 2024)
Q.2 What is Reverberation time? Write methods of controlling it. अनुरणन काल क्या है? इसे नियंत्रित करने की विधियाँ लिखिये। (RGPV 2024)
Q.3 Explain free, forced and resonant vibrations with examples. मुक्त, अवमंदित और अनुनादी कंपनों को उदाहरण सहित समझाइये। (RGPV 2024)
Q.4 Define echo and reverberation. प्रतिध्वनि और अनुरणन को परिभाषित कीजिये।. (RGPV 2023)
Q.5 Write difference between progressive waves and stationary waves. प्रगामी और अप्रगामी तरंगों में अंतर लिखिये। (RGPV 2023)
Q.6 What are ultrasonic waves? Describe application of ultrasonic waves. पराश्रव्य तरंगे क्या है? पराश्रव्य तरंगों के अनुप्रयोगों का वर्णन कीजिये। (RGPV 2023)
Q.7 Comment on term acoustic of building. भवन ध्वनिकी पर टिप्पणी लिखिए। (RGPV 2025)
Q.8 Deduce an expression for the velocity of a particle in simple Harmonic motion. सरल आवर्त गति में कण के वेग के लिए व्यंजक ज्ञात कीजिए। (RGPV 2025)
Q.9 What are longitudinal and transverse waves? Explain them with diagrams and also write characteristics of both waves. अनुप्रस्थ और अनुदैर्ध्य तरंगे क्या है? चित्र बनाकर समझाइए और दोनों तरंगों के गुणों का भी वर्णन कीजिए। (RGPV 2025)
UNIT-II
Q.1 Define power of lens and write its unit. लेंस की क्षमता को परिभाषित कीजिये तथा इसकी इकाई लिखिये। (RGPV 2024)
Q.2 Two thin lenses which have powers +12D and-2D respectively are kept in contact with each other. Find out power and focal length of this combination. दो पतले लेंस जिनकी क्षमताएं क्रमशः +12D और -2D है, परस्पर संपर्क में रखे गए है। इस संयोग की क्षमता तथा फोकल दूरी ज्ञात कीजिये। (RGPV 2024)
Q.3 Explain refraction on thin lens and deduce lens formula. पतले लेंसों पर अपवर्तन समझाइये तथा लेंस सूत्र निगमित कीजिये।
(RGPV 2024)
Q.4 State the law of refraction of light. प्रकाश के अपवर्तन के नियम लिखिये। (RGPV 2023)
Q.5 Explain total internal reflection and write necessary conditions for it. पूर्ण आंतरिक परावर्तन समझाइये तथा इस घटना के लिए आवश्यक शर्तें दीजिये। (RGPV 2023)
Q.6 Draw a labelled ray diagram of simple microscope and derive expression for its magnifying power. सरल सूक्ष्मदर्शी का नामांकित किरण आरेख बनाइये तथा इसकी आवर्धन क्षमता का सूत्र प्राप्त कीजिये। (RGPV 2023)
Q.7 Define the following terms:
i) Principle focus
ii) Centre of curvature
निम्न को परिभाषित कीजिए।
i) मुख्य फोकस
ii) वक्रता केन्द्र (RGPV 2025)
Q.8 Explain refraction of light and write laws of refraction of light. प्रकाश के अपवर्तन को समझाइए। और प्रकाश के अपवर्तन के नियमों को लिखिए। (RGPV 2025)
Q.9 Draw a neat and level diagram of Astronomical telescope when image is formed at least distance of distinct vision and also write its construction and expression for its magnifying power. खगोलिय दूरदर्शी का स्वच्छ व नामांकित चित्र बनाइये जब प्रतिबिम्ब स्पष्ट दृष्टि की न्यूनतम दूरी पर बना हो। इसी संरचना व आवर्धन क्षमता का सूत्र भी लिखिए। (RGPV 2025)
UNIT-III
Q.1 Define electric flux and electric potential. विद्युत फ्लक्स और विद्युत विभव को परिभाषित कीजिये। (RGPV 2024)
Q.2 What is Dielectric material? Explain its effect on capacitance. परावैद्युत पदार्थ क्या है? परावैद्युत पदार्थ का धारिता पर प्रभाव समझाइये। (RGPV 2024)
Q.3 Find out electric field intensity of straight charged conductor of infinite length by the help of Gauss theorem. गाउस के प्रमेय की सहायता से अनंत लंबाई के आवेशित तार के कारण विद्युत क्षेत्र की तीव्रता ज्ञात कीजिये। (RGPV 2024)
Q.4 Define electric field intensity. Write its formula and unit. विद्युत क्षेत्र की तीव्रता की परिभाषा दीजिए। इसका सूत्र तथा इकाई लिखिये। (RGPV 2023)
Q.5 State Coulomb’s law of electrostatics. Derive its formula and also define unit charge with the help of this law. स्थिर वैद्युतिकी का कूलॉम का नियम लिखिये। संबंधित सूत्र निकालिए तथा इसकी सहायता से इकाई आवेश की परिभाषा दीजिये। (RGPV 2023)
Q.6 State and prove Gauss theorem. गॉस का प्रमेय लिखिये और सिद्ध कीजिये। (RGPV 2023)
Q.7 Define electric potential, Write its unit and formula. विद्युत विभव की परिभाषा दीजिए। इसका मात्रक व सूत्र लिखिए। (RGPV 2025)
Q.8 Define electric field. Derive an expression of electric field intensity due to a point charge. विद्युत क्षेत्र को परिभाषित कीजिए। बिंदु आवेश के कारण विद्युत क्षेत्र की तीव्रता के लिए व्यंजक स्थापित कीजिए। (RGPV 2025)
Q.9 State Gauss theorem, apply this theorem to obtain expression of electric field intensity at a point due to infinite plain sheet of charge. गॉस प्रमेय का कथन लिखिए। इस प्रमेय की सहायता से अनंत समतल आवेशित सीट के कारण किसी बिंदु पर विद्युत क्षेत्र की तीव्रता का व्यंजक स्थापित कीजिए। (RGPV 2025)
UNIT- IV
Q.1 Write Ohm’s law. ओह्म का नियम लिखिये। (RGPV 2024)
Q.2 On what factors does the resistance of a conductor depend and how? चालक का प्रतिरोध किन कारकों पर निर्भर करता है और कैसे? (RGPV 2024)
Q.3 Describe Kirchhoff’s law of current (KCL) and Voltage (KVL). किरचॉफ के धारा (KCL) तथा विभव (KVL) के नियमों का वर्णन कीजिये। (RGPV 2024)
Q.4 Write advantages of electric energy over other forms of energy. ऊर्जा के अन्य रूपों की अपेक्षा में विद्युत ऊर्जा के लाभ लिखिये। (RGPV 2023)
Q.5 Write down the Joule’s law of heating effect of electric current. विद्युत धारा के ऊष्मीय प्रभाव से संबंधित जूल के नियम लिखिये। (RGPV 2023)
Q.6 What is Wheatstone Bridge? Explain with circuit diagram how a unknown resistance can be find out by metre bridge. व्हीटस्टोन सेतु क्या है? परिपथ बनाकर समझाइये कि मीटर सेतू द्वारा एक अज्ञात प्रतिरोध का मान कैसे निकाला जाता है? (RGPV 2023)
Q.7 Find the resistance of a conductor in which 2 ampere current is passes, when the potential difference across the end of conductor is one volt. यदि किसी चालक के सिरों पर विभान्तर एक वोल्ट हो तथा उसमें विद्युत धारा 2 एम्पीयर प्रवाहित होती है तो चालक का प्रतिरोध ज्ञात कीजिए। (RGPV 2025)
Q.8 Write and explain Kirchhoff’s current law and voltage law. किरचॉफ के धारा नियम एवं विभव नियम को लिखकर व्याख्या कीजिए। (RGPV 2025)
Q.9 Derive an expression for equivalent resistance, when three resistance are connected in series. तीन प्रतिरोधों के श्रेणी क्रम में संयोजित होने पर उनके तुल्य प्रतिरोध के लिए व्यंजक ज्ञात कीजिए। (RGPV 2025)
UNIT- V
Q.1 Define self and mutual induction. स्वप्रेरण और अन्योन्य प्रेरण को परिभाषित कीजिये। (RGPV 2024)
Q.2 Explain conversion of galvanometer into an ammeter. धारामापी को अनीटर में कैसे परिवर्तित किया जा सकता है समझाइये। (RGPV 2024)
Q.3 Obtain an expression for force acting on a current carrying conductor placed in a magnetic field and tell its direction. चुंबकीय क्षेत्र में रखे धारावाही चालक पर लगने वाले बल का व्यंजक प्राप्त कीजिये तथा बल की दिशा बताइये। (RGPV 2024)
Q.4 An ammeter is connected in series and a voltmeter in parallel in a circuit. Explain why? परिपथ में अमीटर को श्रेणीक्रम में तथा वोल्टमीटर को समांतर क्रम में जोडा जाता है। समझाइये क्यों? (RGPV 2023)
Q.5 What is Lorentz force? Obtain its expression. लारेंज फोर्स क्या है? इसके लिए व्यंजक प्राप्त कीजिये। (RGPV 2023)
Q.6 Explain construction and principle of moving coil galvanometer. चल कुण्डल गैल्वेनोमीटर का निर्माण एवं सिद्धांत समझाइये। (RGPV 2023)
Q.7 What is Magnet? Write the types of magnets. चुंबक क्या है? चुंबक के प्रकार लिखिए। (RGPV 2025)
Q.8 Draw diagram of moving coil galvanometer. What is importance of radial magnetic field in moving coil galvanometer? Explain it. चल कुण्डल धारामापी का चित्र बनाइये। चल कुण्डल धारामापी में त्रिज्यीय चुम्बकीय क्षेत्र का क्या महत्व है? समझाइए। (RGPV 2025)
Q.9 What do you understand by electromagnetic induction? Explain and write the faraday’s laws of electromagnetic induction. विद्युत चुम्बकीय प्रेरण से आप क्या समझते है? फैराडे के विद्युत चुम्बकीय प्रेरण के नियमों को लिखकर विवेचना कीजिए। (RGPV 2025)
UNIT- VI
Q.1 What is Intrinsic semiconductor? निज या आंतरिक अर्द्धचालक क्या होते है? (RGPV 2024)
Q.2 Write difference between P-type and N-type semiconductor. P-प्रकार तथा N-प्रकार के अर्द्धचालकों में अंतर लिखिये। (RGPV 2024)
Q.3 Explain P-N junction diode in forward bias and reverse bias. P-N संधि डायोड की अग्र अभिनति तथा पश्च अभिनति समझाइये। (RGPV 2024)
Q.4 What do you understand by N-type semiconductor? N-प्रकार के अर्द्धचालक से आप क्या समझते हैं? (RGPV 2023)
Q.5 Explain the use of P-N junction diode as half wave rectifier. P-N संधि डायोड का अर्द्ध-तरंग दिष्टकारी के रूप में उपयोग समझाइये। (RGPV 2023)
Q.6 Explain with diagram the working principle of solar cell and write its applications. सोलर सेल के कार्य सिद्धांत को चित्र सहित समझाइये तथा सोलर सेल के अनुप्रयोग लिखिये। (RGPV 2023)
Q.7 What do you understand by energy band in solids? ठोस पदार्थों में ऊर्जा बैण्ड से आप क्या समझते हैं? (RGPV 2025)
Q.8 With the help of circuit diagram distinguished between forward bias and reverse bias and also draw its I-V characteristic curve. विद्युत परिपथ की सहायता से अग्र अभिनत व पश्च अभिनत में अंतर बताइए। एवं इसका I-V अभिलाक्षणिक वक्र खींचिए। (RGPV 2025)
Q.9 With the help of circuit diagram explain the working of full wave rectifier. विद्युत परिपथ की सहायता से पूर्ण तरंग दिष्टकारी की कार्यविधि की व्याख्या कीजिए। (RGPV 2025)
UNIT- VII
Q.1 Define numerical aperture for optical fibre. प्रकाशिक तंतु के संख्यात्मक द्वारक की परिभाषा दीजिये। (RGPV 2024)
Q.2 What do you mean by Nanomaterial? Write properties of nanomaterial. नैनो पदार्थ से आप क्या समझते है? नैनो पदार्थ के गुण बताइये। (RGPV 2024)
Q.3 Explain Ruby laser on following terms: (RGPV 2024)
i) Construction
ii) Principle
iii) Energy level diagram
रूबी लेजर को निम्न बिंदुओं में समझाइये।
i) संरचना
ii) सिद्धांत
iii) ऊर्जा स्तर आरेख
Q.4 Define the term: (RGPV 2023)
i) LASER
ii) Nanomaterials
निम्न पदों को परिभाषित कीजिये।
i) लेजर (LASER)
ii) नेनौपदार्थ
Q.5 Explain spontaneous and stimulated emission. स्वतः और उद्दीप्त उत्सर्जन समझाइये। (RGPV 2023)
Q.6 What is an optical fibre? Explain with the help of diagram how light can travel through it and remain confined to the fibre? प्रकाशिक तंतु क्या है? चित्र की सहायता से समझाइये कि प्रकाशिक तंतु में प्रकाश कैसे चलता है तथा उसके अंदर सीमित बना रहता है? (RGPV 2023)
Q.7 Write a short note on nanoparticles. नैनोकण पर एक संक्षिप्त टिप्पणी लिखिए। (RGPV 2025)
Q.8 What is pumping? Explain the different types of pumping methods. पंपिंग क्या है? पंपिंग की विभिन्न विधियों का वर्णन कीजिए। (RGPV 2025)
Q.9 Describe the construction and working of ruby laser. रूबी लेजर की संरचना एवं कार्यप्रणाली का वर्णन कीजिए। (RGPV 2025)
— Best of Luck for Exam —
