Important Question Diploma (RGPV)
Table of Contents
ToggleCE-501 (7380), Design of Steel and RCC Structures,
V Sem, Civil Branch of Diploma
Multiple Choice Questions (MCQ)
Q.1 Choose the correct answer. (RGPV 2025)
सही उत्तर का चयन कीजिए।
i) In bending, the maximum strain in concrete at the outer most compression fiber is taken
कंक्रीट में सबसे बाहरी संपीडन फायबर पर अधिकतम तनाव झुकने में होता है
(a) 0.002
(b) 0.0025
(c) 0.0035
(d) 0.0036
ii) In a singly reinforced beam, reinforcement is provided.
(a) Below neutral axis
(b) Above the neutral axis
(c) Below and above neutral axis
(d) None of these
सिंगली प्रबलित बीम में, प्रबलन दिया जाता है
(अ) उदासीन अक्ष के नीचे
(ब) उदासीन अक्ष के ऊपर
(स) उदासीन अक्ष के ऊपर तथा नीचे
(द) इनमें से कोई नहीं
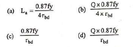
iii) Development length can be calculate by विकास लम्बाई की गणना की जा सकती है
iv) The permissible stress in axial tension is given by
एक्सियल तनाव में अनुमत प्रतिबल लिया जाता है
(a) 0.5 fy
(b) 0.6 fy
(c) 0.66 fy
(d) 0.7 fy
v) The slenderness ratio of the lacing bars should not exceed
किसी लेसिंग छड का क्षीणता अनुपात बढ़ा नहीं चाहिये
(a) 145
(b) 155
(c) 165
(d) 185
Q.2 Choose the correct answer. (RGPV 2024)
सही उत्तर का चयन कीजिए।
i) According to IS:456-2000, the maximum reinforcement in a columnis
IS:456-2000 के अनुसार, एक कॉलम में अधिकतम रीनफोर्समेंट है
(a) 4%
(b) 2%
(c) 6%
(d) 8%
ii) When HYSD bars are used in place of mild steel bars, the bond strength?
(a) Increases
(b) Decreases
(c) Does not change
(d) Becomes zero
जब माइल्ड स्टील बार के स्थान पर HYSD बार का उपयोग किया जाता है, तो बंधन की ताकत
(अ) बढ़ जाती है
(ब) कम हो जाती है
(स) परिवर्तन नहीं होता
(द) शून्य हो जाता है
iii) The partial safety factor for concrete is
कंक्रीट के लिए आंशिक सुरक्षा कारक है
(a) 1.15
(b) 1.5
(c) 1.95
(d) 2.0
iv) A beam is defined as a structural member subjected to
(a) Axial loading
(b) Transverse loading
(c) Axial and Transverse loading
(d) None of these
बीम को एक संरचनात्मक सदस्य के रूप में परिभाषित किया जाता है जो निम्न के अधीन होता है
(अ) अक्षीय लोडिंग
(ब) अनुप्रस्थ लोडिंग
(स) अक्षीय और अनुप्रस्थ लोडिंग
(द) इनमें से कोई नहीं
v) The slenderness ratio of a lacing bar should be less than
लेसिंग बार का सलेंडरनेस अनुपात इससे कम होना चाहिए
(a) 250
(b) 350
(c) 145
(d) 180
UNIT-I
Q.1 Explain slenderness ratio. तनुता अनुपात को समझाइये। (RGPV 2025)
Q.2 Explain the purpose of Leg angle. लेग कोण के उद्देश्य को समझाइये। (RGPV 2025)
Q.3 Design a single angle tension member to take an axial load of 150kN the thickness of gusset plate 16mm and dia. of rivet is 20mm. Take permissible tensile stress 150 N/mm2. एक तनन अवयव का अभिकल्पन कीजिये जिस पर अक्षीय तनन बल 150 किलो न्यूटन है गसेट प्लेट 16 मिमी मोटी है तथा रिविट का व्यास 20 मिमी हो अनुत तनन प्रतिबल 150 न्यूटन/मिमी2 है। (RGPV 2025)
Q.4 Design a built up column to carry an axial load of 1600 kN the effective length of column is 5.5m. Use channel section two nos. placed back to back (Take fy= 250 N/mm2). चैनल सेक्शन को पीठ से पीठ रखकर संधारित स्तंभ का अभिकल्पन कीजिये जिस पर 1600 कि. न्यूटन का अक्षीय भार रखा जाता है स्तंभ की प्रभावी लंबाई 5.5 मी. है (fy= 250 N/mm2) (RGPV 2025)
Q.5 A 150mm x 10 mm plate and a 180mm x 10 mm plate are to be connected in a lapjoint by shop weld. Design the connection for the full strength of the 150mm x 10 mm plate. 150 मिमी x 10 मिमी प्लेट और 180 मिमी x 10 मिमी प्लेट को शॉप वेल्ड द्वारा लैप जॉइंट में जोड़ा जाना है। 150 मिमी x 10 मिमी प्लेट की पूरी ताकत के लिए कनेक्शन डिज़ाइन करें। (RGPV 2024)
Q.6 Design a single angle strut connected to the gusset plate to carry 180 kN factored load. The length of the strut between center to center intersection is 3 m. Take fcd = 90 N/mm2. डिज़ाइन करें, एक सिंगल एंगल स्टूट गुसेट प्लेट से कनेक्ट किया गया जो 180 kN फ़ैक्टर्ड लोड ग्रहण करता है स्ट्रट की लम्बाई जो की केंद्र से केंद्र के इंटरसेक्शन तक 3 मी है। fcd = 90 N/mm2 लीजिये। (RGPV 2024)
UNIT-II
Q.1 List out the advantages and disadvantages of the steel structures. इस्पातीय संरचनाओं के लाभ तथा हानियों को सूचीबद्ध कीजिये। (RGPV 2025)
Q.2 Classify and explain different types of cross sections for steel beams. विभिन्न प्रकार के इस्पात धरन के काट खंडों को वर्गीकृत कर समझाइये। (RGPV 2025)
Q.3 Determine the design bending strength of laterally supported beam ISWB 250 @401.2 N/m. Assume that factored shear force is less than the design shear strength. Take steel grade Fe410. एक लेट्रली सपोर्टेड बीम ISWB 250 @ 401.2 N/m की डिज़ाइन बेन्डिंग स्ट्रेंथ का मान निकाले। माने लें कि फ़ैक्टर्ड अपरूपण बल डिज़ाइन अपरूपण शक्त्ति से कम है। स्टील ग्रेड Fe410 लें। (RGPV 2024)
Q.4 Design a simply supported beam of effective span 4 m carrying a uniformly distributed load of 30 kN/m including self-weight. Apply check for shear only. प्रभावी स्पैन 4 मीटर का एक सिम्पली सपोर्टेड बीम डिजाइन करें जो स्वयं के भार सहित 30 kN/m का समान रूप से वितरित भार वहन कर सके। केवल शियर के लिए जाँच लागू करें। (RGPV 2024)
UNIT-III
Q.1 Explain in brief limit state method. सीमान्त विधि को संक्षेप में समझाइये। (RGPV 2025)
Q.2 Explain under reinforced, over reinforced and balanced section. न्यून प्रबलित, अतिप्रबलित एवं संतुलित काटों को समझाइये। (RGPV 2025)
Q.3 A beam of size 400 x 600 mm effective is reinforced with 4 bars of 20 mm diarneter find the moment of resistance of section of concrete grade is M20 and steel grade is Fe415. (Use LSM) एक धरन जिसकी माप 400 x 600 मिमी प्रभावी गहराई है, 4-20 मिमी. व्यास की छडों द्वारा प्रबलित है प्रतिरोधी आघूर्ण की गणना कीजिये यदि कंक्रीट M20 तथा इस्पात Fe415 का उपयोग किया है (सीमा स्थिति विधि) (RGPV 2025)
Q.4 State the assumptions made in LSM method. सीमान्त विधि में मान्य अवधारणा को बताइये। (RGPV 2025)
Q.5 Draw:
i) Longitudinal
ii) Cross section at mid span and support of doubly reinforced beam using following data
1) Clear span= 6.0 m
2) Width of support=300mm
3) Size 350 x 600mm
4) Tensile reinforcement – 6 nos. 16mm Φ & bar out of which 2 nos. are bent up.
5) Compression reinforcement – 4no.s, 16mm Φ & bars.
6) Shear reinforcement 8mm Φ & two legged stirrups @ 250mm c/c at mid span and 150 mm c/c at 1.0 m from the face of the wall. (RGPV 2025)
एक दोहरी प्रबलित धरन का
i) अनुदैर्ध्य काट
ii) अनुप्रस्थ काट धरन के बीचों बीच तथा किनारे पर बनाइये। निम्नलिखित
आँकड़ों का उपयोग कीजिये
1) शुद्ध पाट= 6.0 मी
2) सपोर्ट की चौडाई = 300 मीमी
3) माप 350 x 600 मिमी
4) तनन प्रबलन 16 मिमी व्यास की 6 छडें जिसमें से 2 छड़ें ऊपर की ओर मुडी हैं
5) संपीडन प्रबलन 16 मिमी की 4 छडे
6) अपरूपण प्रबलन 8 मिमी व्यास के दो पद वाली स्टिरप्स जिसका अन्तराल धरन के बीच 250 मिमी है तथा दीवार के किनारे से 1.0 मी तक @ 150 मिमी है।
Q.6 Define singly and doubly reinforced beam. एकली प्रबलित तथा दोहरी प्रबलित धरन की परिभाषा दीजिये। (RGPV 2025)
Q.7 Define moment of resistance. प्रतिरोध आघूर्ण को परिभाषित कीजिये। (RGPV 2025)
Q.8 Find the area of steel required for a beam of rectangular section 250mm X 500 mm is subjected to a bending moment of 80 kNm, at working loads. Use M20 concrete and Fe415 steel. Take load factor= 1.5. 250 मिमी x 500 मिमी आयताकार खंड की एक बीम के लिए आवश्यक स्टील का क्षेत्रफल ज्ञात करें, जो कार्यशील भार पर 80 kNm के बंकन आघूर्ण के अधीन है। M20 कंक्रीट और Fe415 स्टील का उपयोग करें। लोड फैक्टर 1.5 लें। (RGPV 2024)
Q.9 Design a rectangular beam section for an ultimate moment of 165 kNm. Use M20 concrete and Fe415 steel. Assume the width of beam to be approximatey half the effective depth. 165 kNm के अल्टीमेट मोमेंट के लिए एक आयताकार बीम अनुभाग डिज़ाइन करें। M20 कंक्रीट और Fe415 स्टील का उपयोग करें। बीम की चौड़ाई प्रभावी गहराई का लगभग आधा मान लें। (RGPV 2024)
Q.10 A doubly reinforced beam section is 300 mm wide and 500 mm deep to the center of the tensile reinforcement. It is reinforced with 2 bars of 12 mm diameter as compression reinforcementan effective cover of 40 mm and 4 bars of 25 mm diameter as tensile steel. Using M20 concrete and Fe415 steel, calculate the ultimate moment of resistance of the beam section. दोहरे प्रबलित धरन का अल्टीमेट प्रतिरोधी आघूर्ण ज्ञात कीजिए। प्रबलित बीम अनुभाग 300 मिमी चौड़ा और 500 मिमी गहरा है। इसे संपीड़न स्टील के रूप में 12 मिमी व्यास के 2 बार, 40 मिमी के प्रभावी आवरण और तन्य स्टील के रूप में 25 मिमी व्यास के 4 बार के साथ मजबूत किया गया है। M20 कंक्रीट और Fe415 स्टील का उपयोग करें। (RGPV 2024)
UNIT-IV
Q.1 State the reasons for providing minimum shear reinforcement in the form of stirrups. स्टीरप्स के रूप में न्यूनतम शियर रेनफ़ोर्समेंट प्रदान करने के कारण बताइए। (RGPV 2024)
Q.2 A simply supported reinforced concrete beam is 250mm x 500mm The tensile reinforcement is of 5 bars 18 mm diameter. The beam is subjected to a factored shear of 105 kN at the support. Design the shear reinforcement. Take M20 concrete and Fe250 steel. एक सिम्पली सपोर्टेड प्रबलित कंक्रीट बीम 250 मिमी x 500 मिमी है। तन्य रेनफोर्समेंट 5 बार 18 मिमी व्यास का है। बीम को सपोर्ट पर 105 kN के फैक्टर्ड शियर का भार अधीन किया गया है। शियर रेनफोर्समेंट को डिज़ाइन करें। M20 कंक्रीट और Fe250 स्टील लें। (RGPV 2024)
Q.3 Explain the importance of the bond and why is it essential to provide between steel and concrete in beams. बॉन्ड के महत्व को समझाइए और बीम में स्टील और कंक्रीट के बीच प्रदान करना क्यों आवश्यक है? (RGPV 2024)
Q.4 Define development length and state factors affecting development length. डेवलपमेंट लेंथ को परिभाषित करें और डेवलपमेंट लेंथ को प्रभावित करने वाले कारकों को बताइए। (RGPV 2024)
Q.5 Define Bond and their types. बांड और उनके प्रकारों को परिभाषित्त करें। (RGPV 2024)
UNIT-V
Q.1 Design column using limit state method carrying axial load of 2500kN and unsupported length of 3.0m. Concrete M20 and Steel Fe415 is used. एक स्तंभ का सीमा स्थिति विधि द्वारा अभिकल्पन कीजिये जिस पर 2500kN का अक्षीय भार लग रहा है तथा अतिरोधक लम्बाई 3.0 मी है। कंक्रीट M20 तथा इस्पात Fe415 का प्रयोग किया गया है। (RGPV 2025)
Q.2 A short R.C.C. column 450 mm x 450 mm is provided with 8 bars of 20 mm diameter. If the effective length of the column is 2.75 m, find the ultimate load for the column. Use M20 concrete and Fe415 steel. 450 मिमी x 450 मिमी का एक छोटा आर.सी.सी. कॉलम 20 मिमी व्यास के 8 बार के साथ प्रदान किया गया है। यदि स्तंभ की प्रभावी लंबाई 2.75 मीटर है, तो स्तंभ के लिए अल्टीमेट भार ज्ञात करें। M20 कंक्रीट और Fe415 स्टील का उपयोग करें। (RGPV 2024)
Q.3 A reinforced concrete column of 2.80 m effective length carries an axial load of 1800 kN. Design the column using M20 concrete and Fe415 steel. 2.80 मीटर प्रभावी लंबाई का एक प्रबलित कंक्रीट स्तंभ 1800 kN का अक्षीय भार वहन करता है। M20 कंक्रीट और Fe415 स्टील का उपयोग करके कॉलम को डिज़ाइन करें। (RGPV 2024)
EXTRA QUESTION
Q.1 Write short notes on:
i) Types of failures in tension members
ii) Types of failures in steel column
iii) Reasons for limiting deflection in beams (RGPV 2025)
निम्नलिखित पर टिप्पणी लिखिये।
i) तनन उद्योग की विफलताओं के प्रकार
ⅱ) इस्पात कालम की विफलताओं के प्रकार
ⅲ) धरणों में विक्षेपण सीमित करने के उपाय
— Best of Luck for Exam —
